Την 26/09/18 είχαμε παραθέσει με άρθρο μας (Αντίλογος στα επιχειρήματα υπέρ της μείωσης των συντάξεων) τις απόψεις μας ενάντια στην απόπειρα να δικαιολογηθεί το νέο επικρεμάμενο χαράτσωμα των συντάξεων εν ονόματι μιας δήθεν ανάπτυξης. Στα σχόλια που ακολούθησαν προσπαθήσαμε με ήπιους τόνους να διαφωτίσουμε τους αναγνώστες σας για την αλήθεια που άλλωστε υπηρετεί το κοινωνικό συμφέρον. Επισημάναμε στο άρθρο μας όμως ότι όποιος αναφέρεται σε μας θα πρέπει να είναι καλά διαβασμένος…
Μεταξύ των σχολίων υπήρξε και ένα της κας Ξαφά που εξακολουθεί να συμβουλεύει δημόσια και η γνώμη της επηρεάζει πολλούς. Σήμερα απαντούμε για χάρη της ενημέρωσης μιλώντας με αδυσώπητους αριθμούς και όχι με τη γητειά των ψευδαισθήσεων.
Κυρία Ξαφά, δείτε αν θέλετε τον προϋπολογισμό του έτους 2016 του ΤΣΜΕΔΕ.


Φαίνεται ξεκάθαρα ότι αυτό που λέτε εσείς ως επιβάρυνση τω πελατών μας που δήθεν τροφοδοτούσε ανήθικα το ΤΣΜΕΔΕ, είναι ο κωδικός Κ.Α. 1190 με 70.000€ το 2016 και 474.653€ το 2014, αστεία πράγματα δηλαδή. Δείτε τις κρατήσεις επί των αμοιβών μας που πληρώναμε εμείς οι ίδιοι για εμάς και όχι κάποιοι άλλοι, πέραν των ατομικών ασφαλιστικών εισφορών μας, που με βάση τον νέο νόμο 4387/2016 δεν θεωρούνται ως ασφαλιστικές εισφορές. Και μην μας πείτε ότι οι ποσοστιαίες κρατήσεις επί των αμοιβών μας δεν είναι ασφαλιστικές εισφορές γιατί σήμερα όλοι οι αυτοαπασχολούμενοι καταβάλλουν ποσοστιαίες ασφαλιστικές εισφορές, δεν μπορεί τότε να μην ήταν εισφορές και σήμερα να είναι. Μάθετε πρώτα τι εφάπαξ έπαιρναν οι μηχανικοί, την περίοδο των παχέων αγελάδων και μετά θα καταλάβετε γιατί ήμασταν «νοικοκυραίοι». Μόνο τα έσοδα του Ταμείου μας από εγγυητικές που εμείς πληρώναμε υπερέβαιναν τα 10 εκ. χωρίς τώρα να λογαριαστεί πουθενά.
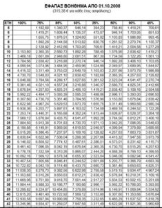
Λοιπόν όταν οι άλλοι με τις κρατικές ή άλλες επιχορηγήσεις έπαιρναν 100.000€ έως 300.000€ εφάπαξ, εμείς παίρναμε 12.000€ με 40 χρόνια δουλειάς, όπως βλέπετε πιο κάτω πατώντας το ΞΦ 3.png και μετά ποιος τολμά να ισχυρισθεί ότι οι πελάτες μας έκαναν υγιές το Ταμείο μας;
Για δείτε στην αρχή του συνημμένου προϋπολογισμού (στο τέλος του κειμένου), μηδέν κρατική χρηματοδότηση. Αλλά και να ήταν σημαντικές οι καταβολές από τους πελάτες μας (που δεν είναι), γιατί αυτό θα ήταν ανήθικο ενώ 35% έως 40% εργοδοτικές εισφορές (μόνο εργοδοτικές) για μία και μοναδική απασχόληση ήταν ηθικό; ή επίσης η σημερινή ποσοστιαία 2 % επί του τζίρου συμμετοχή των εργοδοτών υπέρ ασφαλιστικού ταμείου είναι ηθικότατη;
Εάν επιθυμείτε συνέχεια στο θέμα, έχουμε πάρα πολλά να σας αναφέρουμε, εφόσον βέβαια μιλάτε με τεκμηρίωση και όχι με ισχυρισμούς για ανενημέρωτους.
