Στα 3.475 ανέρχονται τα νέα κρούσματα κορονοϊού το τελευταίο 24ωρο στην χώρα σύμφωνα με τον ΕΟΔΥ, εκ των οποίων 15 εντοπίστηκαν κατόπιν ελέγχων στις πύλες εισόδου της χώρας.
Ο συνολικός αριθμός των κρουσμάτων ανέρχεται σε 524.871 (ημερήσια μεταβολή +0.7%), εκ των οποίων 51.2% άνδρες.
Με βάση τα επιβεβαιωμένα κρούσματα των τελευταίων 7 ημερών, 128 θεωρούνται σχετιζόμενα με ταξίδι από το εξωτερικό και 2.564 είναι σχετιζόμενα με ήδη γνωστό κρούσμα.
Οι νέοι θάνατοι ασθενών με COVID-19 είναι 19, ενώ από την έναρξη της επιδημίας έχουν καταγραφεί συνολικά 13.138 θάνατοι. Το 95.2% είχε
υποκείμενο νόσημα ή/και ηλικία 70 ετών και άνω.
Ο αριθμός των ασθενών που νοσηλεύονται διασωληνωμένοι είναι 226 (59.7% άνδρες).
Η διάμεση ηλικία τους είναι 65 έτη. To 85.4% έχει υποκείμενο νόσημα ή/και ηλικία 70 ετών και άνω. Από την αρχή της πανδημίας έχουν εξέλθει από τις ΜΕΘ 2.854 ασθενείς.
Οι εισαγωγές νέων ασθενών Covid-19 στα νοσοκομεία της επικράτειας είναι 246 (ημερήσια μεταβολή +16.59%). Ο μέσος όρος εισαγωγών του επταημέρου είναι
212 ασθενείς.
Η διάμεση ηλικία των κρουσμάτων είναι 40 έτη (εύρος 0.2 έως 106 έτη), ενώ η διάμεση ηλικία των θανόντων είναι 78 έτη (εύρος 0.2 έως 106 έτη).
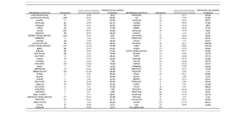
Γεωγραφική κατανομή κρουσμάτων

129 κρούσματα στην ΠΕ Ανατολικής Αττικής
113 κρούσματα στην ΠΕ Βόρειου Τομέα Αθηνών
58 κρούσματα στην ΠΕ Δυτικής Αττικής
117 κρούσματα στην ΠΕ Δυτικού Τομέα Αθηνών
247 κρούσματα στην ΠΕ Κεντρικού Τομέα Αθηνών
114 κρούσματα στην ΠΕ Νοτίου Τομέα Αθηνών
142 κρούσματα στην Π.Ε. Πειραιώς
29 κρούσματα στην Π.Ε. Νήσων
284 κρούσματα στην Π.Ε. Θεσσαλονίκης
47 κρούσματα στην Π.Ε. Αιτωλοακαρνανίας
1 κρούσμα στην Π.Ε. Ανδρου
24 κρούσματα στην Π.Ε. Αργολίδας
30 κρούσματα στην Π.Ε. Αρκαδίας
12 κρούσματα στην Π.Ε. Αρτας
127 κρούσματα στην Π.Ε. Αχαΐας
38 κρούσματα στην Π.Ε. Βοιωτίας
1 κρούσμα στην Π.Ε. Γρεβενών
19 κρούσματα στην Π.Ε. Δράμας
62 κρούσματα στην Π.Ε. Εβρου
58 κρούσματα στην Π.Ε. Εύβοιας
16 κρούσματα στην Π.Ε. Ευρυτανίας
12 κρούσματα στην Π.Ε. Ζακύνθου
38 κρούσματα στην Π.Ε. Ηλείας
11 κρούσματα στην Π.Ε Ημαθίας
240 κρούσματα στην ΠΕ Ηρακλείου
2 κρούσματα στην Π.Ε. Θάσου
20 κρούσματα στην Π.Ε. Θεσπρωτίας
11 κρούσματα στην Π.Ε. Θήρας
1 κρούσμα στην Π.Ε. Ιθάκης
1 κρούσμα στην Π.Ε. Ικαρίας
39 κρούσματα στην Π.Ε. Ιωαννίνων
64 κρούσματα στην Π.Ε. Καβάλας
11 κρούσματα στην Π.Ε. Καλύμνου
8 κρούσματα στην Π.Ε. Καρδίτσας
1 κρούσμα στην Π.Ε. Καστοριάς
1 κρούσμα στην Π.Ε. Κέας-Κύθνου
54 κρούσματα στην Π.Ε. Κέρκυρας
8 κρούσματα στην Π.Ε. Κεφαλληνίας
30 κρούσματα στην Π.Ε. Κιλκίς
41 κρούσματα στην Π.Ε Κοζάνης
57 κρούσματα στην Π.Ε. Κορινθίας
11 κρούσματα στην Π.Ε. Κω
26 κρούσματα στην Π.Ε. Λακωνίας
51 κρούσματα στην Π.Ε Λάρισας
30 κρούσματα στην Π.Ε. Λασιθίου
32 κρούσματα στην Π.Ε. Λέσβου
18 κρούσματα στην Π.Ε. Λευκάδας
1 κρούσμα στην Π.Ε. Λήμνου
31 κρούσματα στην Π.Ε. Μαγνησίας
56 κρούσματα στην Π.Ε. Μεσσηνίας
4 κρούσματα στην Π.Ε. Μήλου
46 κρούσματα στην Π.Ε. Μυκόνου
24 κρούσματα στην Π.Ε. Νάξου
12 κρούσματα στην Π.Ε. Ξάνθης
16 κρούσματα στην Π.Ε. Πάρου
22 κρούσματα στην Π.Ε. Πέλλας
31 κρούσματα στην Π.Ε. Πιερίας
25 κρούσματα στην Π.Ε. Πρέβεζας
60 κρούσματα στην Π.Ε. Ρεθύμνου
8 κρούσματα στην Π.Ε. Ροδόπης
99 κρούσματα στην ΠΕ Ρόδου
1 κρούσμα στην Π.Ε. Σάμου
22 κρούσματα στην Π.Ε. Σερρών
6 κρούσματα στην Π.Ε. Σποράδων
9 κρούσματα στην Π.Ε. Σύρου
6 κρούσματα στην Π.Ε. Τήνου
15 κρούσματα στην Π.Ε. Τρικάλων
21 κρούσματα στην Π.Ε. Φθιώτιδας
22 κρούσματα στην Π.Ε. Φλώρινας
3 κρούσματα στην Π.Ε. Φωκίδας
26 κρούσματα στην Π.Ε. Χαλκιδικής
138 κρούσματα στην Π.Ε. Χανίων
23 κρούσματα στην Π.Ε. Χίου
240 κρούσματα υπό διερεύνηση.